Stock Optimizer
Inventory Forecasting System

About
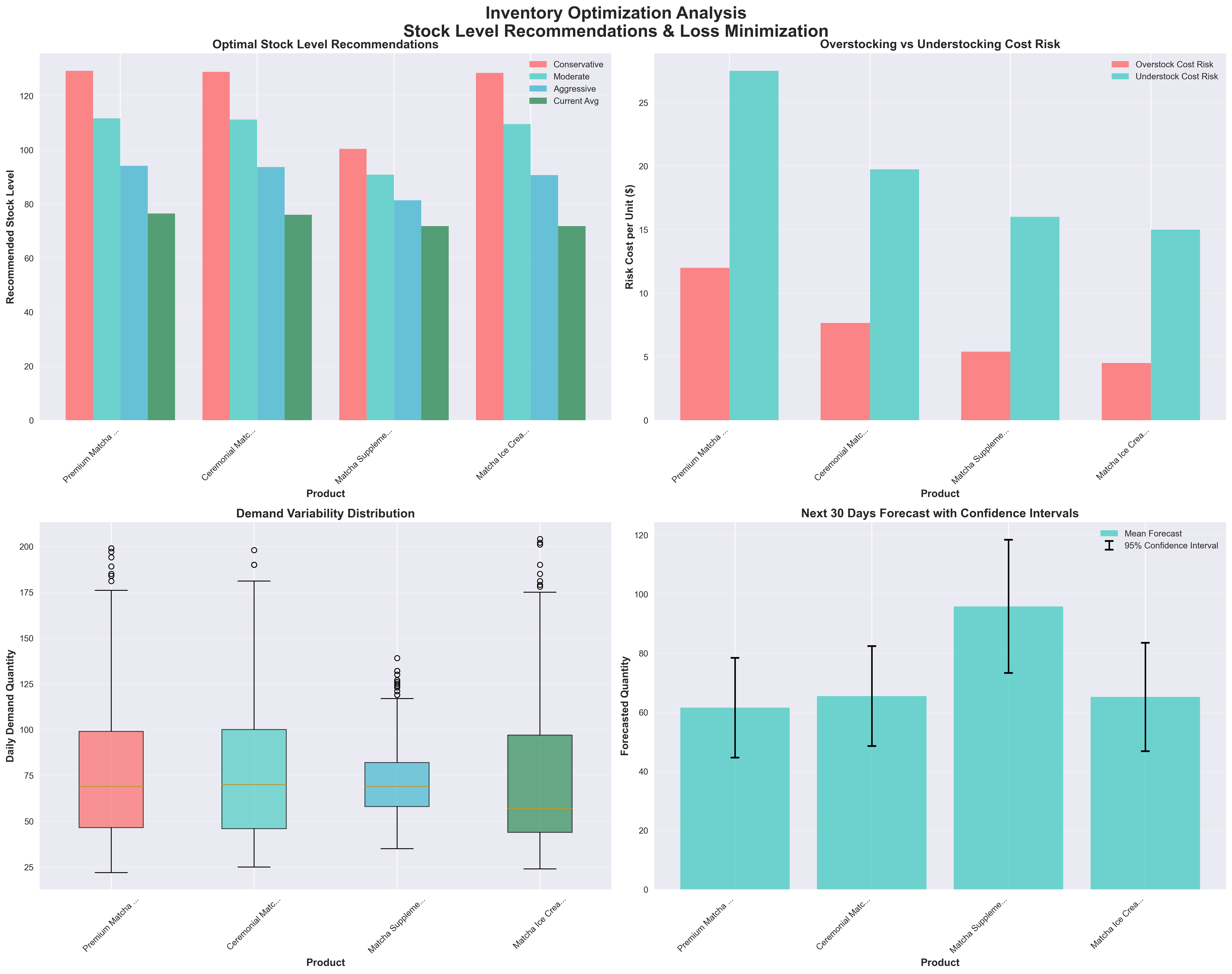
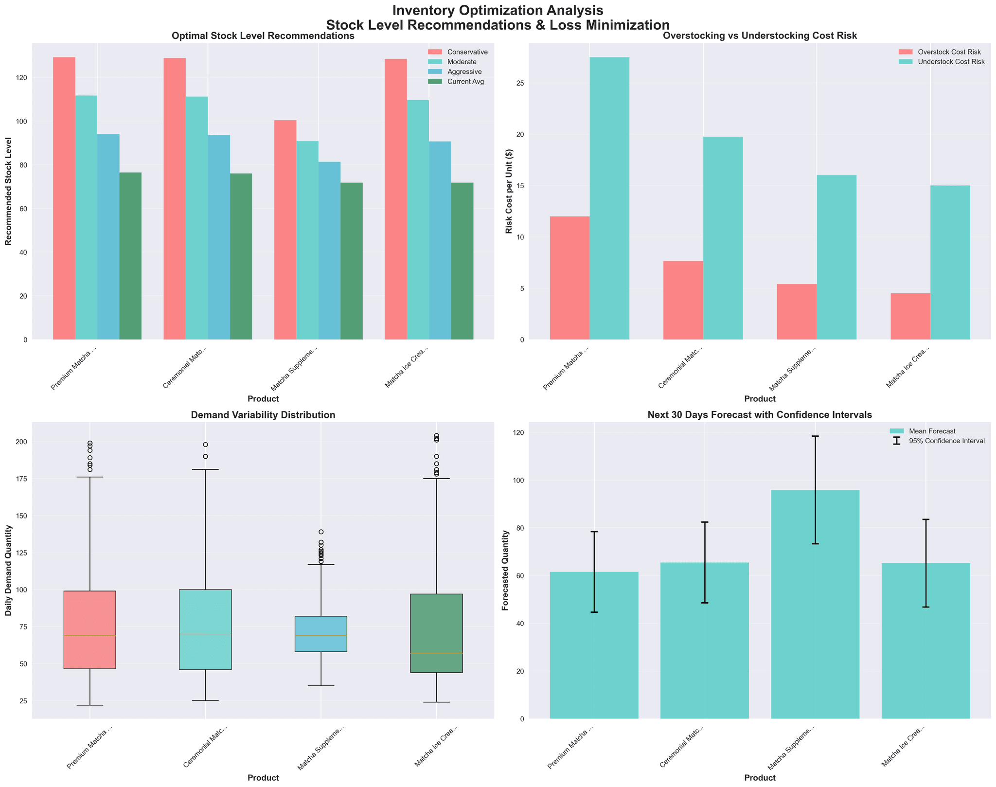
Advanced stock optimization and forecasting software using machine learning to predict demand and optimize inventory levels across supply chains. Features comprehensive sales forecasting with loss function optimization, handling overstocking and understocking penalties. Provides optimal stock level recommendations with conservative, moderate, and aggressive strategies. Includes demand variability distribution analysis, 30-day forecasts with confidence intervals, and cost risk assessment for both overstock and understock scenarios. Model training convergence tracking ensures >90% accuracy with high confidence levels. Analyzes seasonality patterns, profit optimization by product, and forecast accuracy metrics including MAE, RMSE, and MAPE. Supports decision analysis dashboards with expected utility surface visualization and sensitivity analysis to forecast accuracy.

